Netty
更新: 10/24/2025 字数: 0 字 时长: 0 分钟
思考:什么是I/O 通信?
I/O 通信是指计算机之间通过网络进行数据交换的过程。在这个过程中,数据的输入和输出被抽象为I/O操作。

1.Java 中的 I/O 模型
注意:这里的 I/O 模型指的是网络 I/O模型,并不是文件 I/O 模型。
1.1. 阻塞式 I/O(BIO)
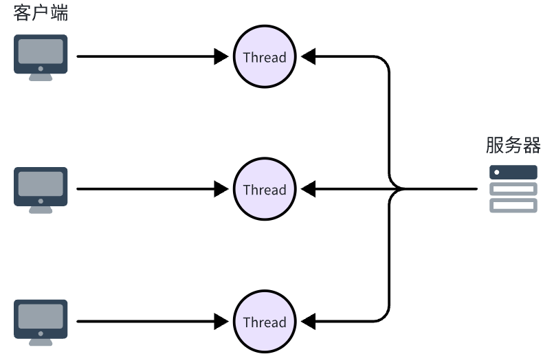
BIO:Blocking I/O,即阻塞式输入输出,是指服务端阻塞等待客户端连接,每个连接分配一个线程处理,该线程又会阻塞等待数据读写。

示例代码
import java.io.IOException;
import java.net.ServerSocket;
import java.net.Socket;
/**
* 演示 BIO
*
* @author yolk
* @since 2025/10/21 01:50
*/
public class BIOServer {
public static void main(String[] args) throws IOException {
/*
使用 TCP 协议,创建服务器端 Socket,监听 9000 端口
如果要使用 UDP 协议,使用 DatagramSocket 类
*/
ServerSocket serverSocket = new ServerSocket(9000);
// 使用死循环监听客户端连接
while (true) {
/*
阻塞等待客户端连接
*/
Socket clientSocket = serverSocket.accept();
System.out.println("一个客户端连接了服务器");
// 开启一个线程,处理该客户端连接
new Thread(() -> {
try {
handler(clientSocket);
} catch (IOException e) {
e.printStackTrace();
}
}).start();
}
}
private static void handler(Socket clientSocket) throws IOException {
byte[] bytes = new byte[1024];
// 获取输入流,读取客户端发送的数据
int read = clientSocket.getInputStream().read(bytes);
if (read != -1) {
System.out.println("收到客户端数据: " + new String(bytes, 0, read));
}
// 不知道客户端什么时候会关闭连接,这里服务端主动关闭连接
clientSocket.close();
}
}测试
使用telnet命令模拟客户端连接,并发送Hello, Server:

终端中:Connection closed by foreign host. 表示服务器关闭了连接。
终端输出:
一个客户端连接了服务器
收到客户端数据: Hello, Server分析
这种阻塞式 I/O 模型简单易用,但在高并发场景下性能较差(难以解决C10K、C10M问题)因为每个连接都需要一个线程,线程切换和资源消耗较大。
C10K问题:指的是如何处理 1 万(10K)个并发连接的问题。
C10M问题:指的是如何处理 1 百万(10M)个并发连接的问题。
可能会想到使用线程池来复用线程,但是线程池的线程数量也是有限的,仍然无法解决高并发连接的问题。
1.2. 传统的非阻塞式 I/O(NIO)
在 JDK 1.4 引入了 NIO(Non-blocking I/O)库,提供了非阻塞式 I/O 模型。它实现了一个线程通过轮询机制管理多个连接,当某个连接有数据时才会处理,没有数据的连接会被跳过,线程不会阻塞等待。
示例代码
import java.io.IOException;
import java.net.InetSocketAddress;
import java.nio.ByteBuffer;
import java.nio.channels.ServerSocketChannel;
import java.nio.channels.SocketChannel;
import java.util.Iterator;
import java.util.LinkedList;
import java.util.List;
/**
* 演示 NIO
*
* @author yolk
* @since 2025/10/21 02:38
*/
public class NIOServer {
private static final List<SocketChannel> CHANNEL_LIST = new LinkedList<>();
public static void main(String[] args) throws IOException {
// 创建服务器端 SocketChannel(和 BIO 的 ServerSocket 类似)
ServerSocketChannel serverSocket = ServerSocketChannel.open();
// 监听 9000 端口
serverSocket.socket().bind(new InetSocketAddress(9000));
// 设置为非阻塞模式,默认是阻塞模式
serverSocket.configureBlocking(false);
System.out.println("服务器启动,监听端口 9000");
while (true) {
/*
非阻塞等待客户端连接,即每调用一次 accept() 方法,立即返回
如果没有客户端连接,返回 null
*/
SocketChannel socketChannel = serverSocket.accept();
if (socketChannel != null) {
// 如果有客户端连接
System.out.println("一个客户端连接了服务器");
// 设置该客户端连接为非阻塞模式,那么读取数据时也不会阻塞,默认是阻塞模式
socketChannel.configureBlocking(false);
// 将该客户端连接加入列表
CHANNEL_LIST.add(socketChannel);
}
// 遍历所有已连接的客户端,读取数据,使用迭代器避免并发修改异常
Iterator<SocketChannel> iterator = CHANNEL_LIST.iterator();
while (iterator.hasNext()) {
// 取出一个客户端连接
SocketChannel channel = iterator.next();
// 非阻塞读取客户端数据,每次只读取 1 KB 数据
byte[] bytes = new byte[1024];
// 这里不会阻塞,另外如果没有数据可读,read 方法立即返回 0
int read = channel.read(ByteBuffer.wrap(bytes));
if (read > 0) {
System.out.println("收到客户端数据: " + new String(bytes, 0, read));
} else if (read == -1) {
// 客户端关闭连接,移除该连接
iterator.remove();
System.out.println("客户端关闭了连接");
channel.close();
}
}
}
}
}测试

终端输出:
服务器启动,监听端口 9000
一个客户端连接了服务器
收到客户端数据: Hello, Server
客户端关闭了连接分析
上述代码中并没有使用新的线程去处理每个客户端连接,而是通过一个线程轮询所有连接,并且读取数据。
但是存在CPU 空转的问题,即没有连接或连接没有数据时,线程仍然在不停地轮询,浪费 CPU 资源。
可能会想到这样一个方法:分离accept()和read()两个操作到不同的线程来缓解这个问题,并且通过让线程休眠一段时间来减少 CPU 空转。
实际上 NIO 有一个多路复用器(Selector)机制,可以让一个线程同时监听多个连接的accept和read事件,从而避免 CPU 空转的问题。
多路复用器(Selector)机制
import java.io.IOException;
import java.net.InetSocketAddress;
import java.nio.ByteBuffer;
import java.nio.channels.SelectionKey;
import java.nio.channels.Selector;
import java.nio.channels.ServerSocketChannel;
import java.nio.channels.SocketChannel;
import java.util.Iterator;
import java.util.Set;
/**
* 演示 NIO 多路复用器机制-Selector
*
* @author yolk
* @since 2025/10/21 03:23
*/
public class NIOSelectorServer {
public static void main(String[] args) throws IOException {
ServerSocketChannel serverSocket = ServerSocketChannel.open();
serverSocket.socket().bind(new InetSocketAddress(9000));
serverSocket.configureBlocking(false);
// 创建多路复用器 Selector,即创建 epoll
Selector selector = Selector.open();
/*
将服务器端 SocketChannel 注册到多路复用器上
并且监听"有客户端需要进行连接"的事件(OP_ACCEPT)
*/
serverSocket.register(selector, SelectionKey.OP_ACCEPT);
System.out.println("服务器启动,监听端口 9000");
while (true) {
// 如果有需要处理的事件发生(比如前面的 OP_ACCEPT)则返回,否则阻塞等待
selector.select();
// 获取所有发生的事件
Set<SelectionKey> selectionKeys = selector.selectedKeys();
// 使用迭代器遍历所有事件进行处理
Iterator<SelectionKey> iterator = selectionKeys.iterator();
while (iterator.hasNext()) {
SelectionKey key = iterator.next();
if (key.isAcceptable()) {
// 如果是 OP_ACCEPT 事件,即有新的客户端需要进行连接
// 在前面注册该事件时,关联的 channel 就是服务器端的 ServerSocketChannel
ServerSocketChannel server = (ServerSocketChannel) key.channel();
// 接受该客户端连接
SocketChannel socketChannel = server.accept();
// 设置为非阻塞模式
socketChannel.configureBlocking(false);
// 将该客户端连接注册到多路复用器上,监听读事件(OP_READ),即读取数据
socketChannel.register(selector, SelectionKey.OP_READ);
System.out.println("一个客户端连接了服务器");
} else if (key.isReadable()) {
// 如果是 OP_READ 事件,即有客户端发送数据需要读取
SocketChannel client = (SocketChannel) key.channel();
byte[] bytes = new byte[1024];
int read = client.read(ByteBuffer.wrap(bytes));
if (read > 0) {
System.out.println("收到客户端数据: " + new String(bytes, 0, read));
} else if (read == -1) {
// 客户端关闭连接,
// 先取消该 key,释放资源
key.cancel();
// 再关闭该客户端连接
client.close();
System.out.println("一个客户端关闭了连接");
}
}
// 处理完该事件后,从事件集中移除该事件,避免重复处理
iterator.remove();
}
}
}
}上述代码没有使用多个线程,而是通过Selector多路复用器机制,让一个线程同时监听多个连接的accept和read事件,如果没有事件发生则阻塞等待,会释放 CPU 资源,避免空转。
测试:

控制台输出:
服务器启动,监听端口 9000
一个客户端连接了服务器
收到客户端数据: Hello, Server
一个客户端关闭了连接可以模拟两个客户端连接并发送数据,观察selector.selectedKeys()返回的事件个数,可以看到只会对发生的事件进行处理,在前面的 NIO 示例中没有使用多路复用器时,所以它会对所有连接进行轮询。
但是这样的代码写起来比较繁琐,而且实际上也不能支撑非常高的并发(虽然比 BIO 好很多),这时候就需要使用Netty框架了。Netty 提供了更高层次的抽象,简化了网络编程的复杂性,并且具有非常好的性能。
2.Netty 简介
Netty 是一个基于 Java NIO 的高性能网络通信框架(单机就能支持百万级别的并发连接),它封装了底层的网络 I/O 操作,提供了丰富的功能和灵活的编程模型,使得开发网络应用变得更加简单和高效。
在 Java 的生态系统中,Netty 被广泛应用于各种网络应用场景,如:
- 高性能的 HTTP 服务器和客户端
- 实时通信系统(如聊天应用、在线游戏)
- 分布式系统中的 RPC 框架
- 大数据传输和处理系统
像著名的分布式 RPC 框架gRPC和Dubbo都使用了 Netty 作为其底层的网络通信组件,另外 Spring Framework 也提供了对 Netty 的集成支持,用于构建响应式 Web 应用。
它的核心特性包括:
- 高性能:基于 NIO 实现,支持异步非阻塞 I/O 操作,能够处理大量并发连接。
- 事件驱动架构:采用事件驱动模型,使用事件循环(Event Loop)来处理 I/O 事件,提高了资源利用率。
- 丰富的协议支持:内置对多种协议的支持(如 HTTP、WebSocket、FTP 等),并且可以轻松扩展以支持自定义协议。
- 灵活的编程模型:提供了丰富的 API 和工具,支持多种编程范式(如回调、Future、Reactive 等)。
它有以下几个重要的组件:
- Channel:表示一个网络连接,可以是 TCP 连接、UDP 连接等。Channel 是数据传输的基本单位。
- Event Loop:负责处理 I/O 事件的线程,通常一个 Event Loop 会管理多个 Channel。
- Pipeline:Channel 的数据处理链,由多个 Handler 组成,用于处理入站和出站的数据。
- Handler:用于处理具体的业务逻辑,可以是数据的编解码、业务处理等。
- Bootstrap:用于配置和启动客户端或服务器端的引导类。
- Future 和 Promise:用于处理异步操作的结果,支持回调和链式调用。
2.1.使用示例
引入依赖
<dependency>
<groupId>io.netty</groupId>
<artifactId>netty-all</artifactId>
<version>4.1.94.Final</version>
</dependency>示例代码
import io.netty.bootstrap.ServerBootstrap;
import io.netty.channel.Channel;
import io.netty.channel.ChannelFuture;
import io.netty.channel.ChannelInitializer;
import io.netty.channel.ChannelOption;
import io.netty.channel.EventLoopGroup;
import io.netty.channel.nio.NioEventLoopGroup;
import io.netty.channel.socket.nio.NioServerSocketChannel;
/**
* Netty 服务器示例
* <p>演示如何使用 Netty 框架创建一个基本的 TCP 服务器</p>
*
* @author yolk
* @since 2025/10/22 01:50
*/
public class NettyServer {
public static void main(String[] args) {
/*
* 创建两个 EventLoopGroup 线程组:
* - bossGroup:负责接收客户端的连接请求(Accept 操作),通常设置为 1 个线程即可
* - workerGroup:负责处理已建立连接的 I/O 读写操作,线程数视具体业务需求而定
*
* NioEventLoopGroup 默认线程数为 CPU 核心数的 2 倍。
*/
EventLoopGroup bossGroup = new NioEventLoopGroup(1);
EventLoopGroup workerGroup = new NioEventLoopGroup(10);
try {
// 创建服务器端的启动引导类
ServerBootstrap bootstrap = new ServerBootstrap();
bootstrap.group(bossGroup, workerGroup) // 绑定两个线程组
// 指定服务器通道类型(基于 NIO 的 ServerSocketChannel 实现)
.channel(NioServerSocketChannel.class)
/*
* SO_BACKLOG:是 TCP 协议中用于完成三次握手后服务端存放已完成连接的队列长度参数,
* 默认值根据操作系统不同而不同,Linux 下通常是 128。
*
* 如果队列满了,新的连接请求可能会被丢弃或延迟处理(取决于系统配置)。
*/
.option(ChannelOption.SO_BACKLOG, 1024)
/*
* 配置每个新建立的连接的业务处理逻辑
* ChannelInitializer 会在 Channel(客户端)注册到 EventLoop 后被调用一次,用于初始化 pipeline
*/
.childHandler(new ChannelInitializer<>() {
@Override
protected void initChannel(Channel channel) throws Exception {
// 向 Channel 的 pipeline 添加自定义的业务处理器,如果有多个处理器,可以多次调用 addLast()
channel.pipeline().addLast(new NettyServerHandler());
}
});
System.out.println("服务器启动,监听端口 9000");
/*
* 绑定端口并启动服务器
* bind() 方法是异步的,返回 ChannelFuture 对象
* sync() 方法会阻塞当前线程,直到端口绑定完成
*
* 如果不调用 sync(),可以通过 ChannelFuture 的监听器或 isDone() 方法判断是否完成
*/
ChannelFuture cf = bootstrap.bind(9000).sync();
/*
* 等待服务器 Channel 关闭
* closeFuture() 返回的 ChannelFuture 会在 Channel 关闭时得到通知
* sync() 阻塞主线程,使服务器保持运行状态
*
* 这行代码实际上让主线程一直等待,除非有其他线程调用 channel.close() 关闭服务器
*/
cf.channel().closeFuture().sync();
} catch (Exception e) {
e.printStackTrace();
} finally {
/*
* 优雅关闭线程组,释放所有资源
* shutdownGracefully() 会在执行完所有已提交的任务后再关闭线程池,
* 从而避免强制中断正在执行的任务,确保资源安全释放。
*/
bossGroup.shutdownGracefully();
workerGroup.shutdownGracefully();
}
}
}import io.netty.buffer.ByteBuf;
import io.netty.buffer.Unpooled;
import io.netty.channel.ChannelHandlerContext;
import io.netty.channel.ChannelInboundHandlerAdapter;
import io.netty.util.CharsetUtil;
/**
* Netty 服务器端入站事件处理器。
* 该类负责处理客户端的连接建立、断开、消息读取、异常处理等入站事件。
*
* ChannelInboundHandlerAdapter 是 ChannelInboundHandler 的一个适配器类,提供了默认的空实现,方便我们只重写需要的方法。
* ChannelInboundHandler 是 Netty 的核心接口之一,定义了「入站事件」的回调方法。
*
* @author yolk
* @since 2025/10/22
*/
public class NettyServerHandler extends ChannelInboundHandlerAdapter {
/**
* 当客户端连接建立时触发。
* 表示通道已处于活跃状态,可进行 I/O 操作。
*/
@Override
public void channelActive(ChannelHandlerContext ctx) throws Exception {
System.out.println("客户端连接:" + ctx.channel().remoteAddress());
ByteBuf welcome = Unpooled.copiedBuffer("Welcome to Netty Server!\n", CharsetUtil.UTF_8);
ctx.writeAndFlush(welcome);
}
/**
* 当通道处于非活跃状态时触发。
* 表示客户端断开连接。
*/
@Override
public void channelInactive(ChannelHandlerContext ctx) throws Exception {
System.out.println("客户端断开连接:" + ctx.channel().remoteAddress());
}
/**
* 读取客户端发送的数据。
*/
@Override
public void channelRead(ChannelHandlerContext ctx, Object msg) throws Exception {
ByteBuf buf = (ByteBuf) msg;
String content = buf.toString(CharsetUtil.UTF_8);
System.out.println("收到客户端消息:" + content);
// 回复客户端
ByteBuf response = Unpooled.copiedBuffer("Hello Client, I received your message.", CharsetUtil.UTF_8);
ctx.write(response);
}
/**
* 每次读取完成后调用。
* 通常用于刷新缓冲区,将消息真正写入网络。
*/
@Override
public void channelReadComplete(ChannelHandlerContext ctx) throws Exception {
ctx.flush();
System.out.println("已完成本次数据读取与响应发送。");
}
/**
* 发生异常时调用。
* 一般记录日志并关闭连接,避免资源泄漏。
*/
@Override
public void exceptionCaught(ChannelHandlerContext ctx, Throwable cause) throws Exception {
System.err.println("通道异常:" + cause.getMessage());
cause.printStackTrace();
ctx.close();
}
}import io.netty.bootstrap.Bootstrap;
import io.netty.channel.ChannelFuture;
import io.netty.channel.ChannelInitializer;
import io.netty.channel.EventLoopGroup;
import io.netty.channel.nio.NioEventLoopGroup;
import io.netty.channel.socket.SocketChannel;
import io.netty.channel.socket.nio.NioSocketChannel;
/**
* Netty 客户端示例
* <p>演示如何使用 Netty 框架创建一个基本的 TCP 客户端</p>
*
* @author yolk
* @since 2025/10/22 03:52
*/
public class NettyClient {
public static void main(String[] args) {
/*
* 创建客户端事件循环组:
* - 客户端只需要一个 EventLoopGroup,用于处理连接建立和 I/O 读写操作
* - 对于简单的客户端应用,通常使用默认线程数即可
*/
EventLoopGroup group = new NioEventLoopGroup();
try {
/*
* 创建客户端启动引导类
* 注意:客户端使用 Bootstrap,而服务端使用 ServerBootstrap
*/
Bootstrap bootstrap = new Bootstrap();
// 配置客户端启动参数
bootstrap.group(group) // 设置线程组
/*
* 指定客户端通道类型(基于 NIO 的 SocketChannel 实现)
* 与服务端的 NioServerSocketChannel 对应
*/
.channel(NioSocketChannel.class)
// 配置连接建立后的业务处理逻辑
.handler(new ChannelInitializer<SocketChannel>() {
@Override
protected void initChannel(SocketChannel ch) throws Exception {
// 向 Channel 的 pipeline 添加自定义的业务处理器
ch.pipeline().addLast(new NettyClientHandler());
}
});
System.out.println("客户端准备就绪,准备连接服务器...");
// 连接到服务器
ChannelFuture cf = bootstrap.connect("localhost", 9000).sync();
// 等待客户端 Channel 关闭
cf.channel().closeFuture().sync();
} catch (Exception e) {
e.printStackTrace();
} finally {
// 关闭线程组,释放所有资源
group.shutdownGracefully();
}
}
}import io.netty.buffer.ByteBuf;
import io.netty.buffer.Unpooled;
import io.netty.channel.ChannelHandlerContext;
import io.netty.channel.ChannelInboundHandlerAdapter;
import io.netty.util.CharsetUtil;
/**
* Netty 客户端入站事件处理器。
*
* @author yolk
* @since 2025/10/22
*/
public class NettyClientHandler extends ChannelInboundHandlerAdapter {
@Override
public void channelActive(ChannelHandlerContext ctx) throws Exception {
System.out.println("已成功连接到服务器:" + ctx.channel().remoteAddress());
// 连接成功后,向服务器发送消息
ByteBuf message = Unpooled.copiedBuffer("Hello Server, I'm Netty Client!", CharsetUtil.UTF_8);
ctx.writeAndFlush(message);
}
@Override
public void channelInactive(ChannelHandlerContext ctx) throws Exception {
System.out.println("与服务器断开连接:" + ctx.channel().remoteAddress());
}
@Override
public void channelRead(ChannelHandlerContext ctx, Object msg) throws Exception {
ByteBuf buf = (ByteBuf) msg;
String content = buf.toString(CharsetUtil.UTF_8);
System.out.println("收到服务器消息:" + content);
// 可选:根据业务需求,向服务器回复消息
// ByteBuf response = Unpooled.copiedBuffer("Got it!\n", CharsetUtil.UTF_8);
// ctx.write(response);
}
@Override
public void channelReadComplete(ChannelHandlerContext ctx) throws Exception {
ctx.flush();
System.out.println("已完成本次数据读取。");
}
@Override
public void exceptionCaught(ChannelHandlerContext ctx, Throwable cause) throws Exception {
System.err.println("客户端通道异常:" + cause.getMessage());
cause.printStackTrace();
ctx.close();
}
}测试
先启动NettyServer,然后启动NettyClient,再接着关闭客户端,观察控制台输出:
服务器启动,监听端口 9000
客户端连接:/127.0.0.1:51277
收到客户端消息:Hello Server, I'm Netty Client!
已完成本次数据读取与响应发送。
已完成本次数据读取与响应发送。
客户端断开连接:/127.0.0.1:51277客户端准备就绪,准备连接服务器...
已成功连接到服务器:localhost/127.0.0.1:9000
收到服务器消息:Welcome to Netty Server!
已完成本次数据读取。
收到服务器消息:Hello Client, I received your message.
已完成本次数据读取。3.线程模型
Netty 的线程模型旨在高效地处理大量并发连接和 I/O 操作,同时简化开发者的编程复杂性。其线程模型包括了多种优化技术,例如:Reactor 线程模型、事件循环(Event Loop)、线程池等,用于在高负载下保持良好的性能表现。
3.1.概述

Netty 的线程模型是基于Reactor 模式设计的,主要包括以下几种类型的线程:
- Boss 线程
- 职责:主要负责监听客户端连接请求,并将这些连接分发给 Worker 线程进行处理。
- 数量:通常只有一个 Boss 线程,足以处理大量的连接请求。
- Worker 线程
- 职责:主要处理 I/O 读写操作和业务逻辑处理。Worker 线程从 Boss 线程接收连接后,负责与客户端进行数据交互。
- 数量:Worker 线程的数量通常根据服务器的 CPU 核心数进行配置,一般为 CPU 核心数的 2 倍。
- 自定义线程
- 职责:用户可以根据需要创建自定义线程,用于处理特定的业务逻辑或任务。这些线程通常在
Handler中异步执行耗时操作,避免阻塞 Worker 线程。
- 职责:用户可以根据需要创建自定义线程,用于处理特定的业务逻辑或任务。这些线程通常在
什么是 Reactor 模式?
Reactor 模式是一种事件驱动的设计模式,主要用于处理 I/O 事件。它通过一个或多个线程(Reactor)监听多个 I/O 事件,当事件发生时,Reactor 将事件分发给相应的处理器(
Handler)进行处理,从而实现高效的 I/O 操作。
3.2.提高线程模型性能
Netty 通过以下关键技术来提高其线程模型的性能:
非阻塞 I/O 和事件驱动
Netty 基于 Java NIO 实现,采用非阻塞 I/O 模型,通过事件驱动的方式来高效处理 I/O 事件。每个线程可以同时处理多个连接,避免了传统阻塞 I/O 模型中线程数量与连接数量一一对应的问题。
线程不会因为等待 I/O 操作而阻塞,而是通过事件循环机制(
Event Loop)不断轮询和处理就绪的 I/O 事件,从而提高了资源利用率。事件循环(Event Loop)
Netty 的事件循环由一个或多个线程组成,当事件循环线程处理某一个连接时,不会被其他连接的 I/O 操作所阻塞。
每个事件循环线程会维护一个任务队列,通过不断循环检查事件队列中的任务,并执行相应的 I/O 操作和业务逻辑处理,最大化地利用 CPU 资源。
线程与通道的绑定
Netty 将每个
Channel(连接)绑定到一个特定的Event Loop线程上,这样可以避免多线程竞争,简化了并发控制,降低了锁的使用,从而提高了性能。线程池
通过线程池复用线程,减少了线程创建和销毁的开销。Netty 使用
NioEventLoopGroup来管理线程池,自动调整线程数量以适应负载变化。工作线程分离
Netty 允许将 I/O 操作和业务逻辑处理分离到不同的线程中,避免了长时间的业务处理阻塞 I/O 线程,避免单一线程称为系统瓶颈。
4.内存池机制
Netty 通过内存池机制来优化内存分配和回收过程,使得性能更高效,它的内存池主要依赖于PooledByteBufAllocator类,结合了一些策略来管理内存的分配和回收。
4.1.内存池设计原则
- 内存重用:通过重用内存,减少频繁的内存分配和垃圾回收,降低内存碎片化。
- 分级分配:内存块按大小分级进行管理,较小的内存请求从小块池中分配,较大的请求从大块池中分配,提高内存利用率。
- 线程局部缓存:每个线程维护自己的内存缓存(利用
ThreadLocal),减少线程间的竞争,提高分配效率。
4.2.核心组件
Arena
Arena是内存池的核心组件,负责管理内存的分配和回收。每个 Arena 维护多个Chunk(内存块),并根据请求的大小选择合适的 Chunk 进行分配。Chunk
Chunk是内存池中的基本单元,负责实际的内存分配。每个 Chunk 维护一个固定大小的内存区域,可以满足多个小内存请求。Chunk 的管理策略包括:分配、回收、合并等操作,以提高内存利用率。PoolThreadCache
PoolThreadCache是每个线程私有的内存缓存,用于快速分配和回收小块内存。通过将小内存请求缓存在 PoolThreadCache 中,可以减少对 Arena 的频繁访问,提高内存分配的效率。ByteBufAllocatorByteBufAllocator是内存分配器的接口,Netty 提供了两种实现:PooledByteBufAllocator(池化内存分配器)和UnpooledByteBufAllocator(非池化内存分配器,可以直接在堆内存或直接内存中分配))。
4.3.内存分配流程
- 内存请求:当应用程序请求分配内存时,首先会检查请求的大小是否在内存池的管理范围内。
- 线程缓存检查:检查
PoolThreadCache中是否有可用的内存块,如果有则直接从缓存中分配。 - Arena 分配:如果线程缓存中没有可用内存块,则从对应的
Arena中分配内存块,根据请求大小选择合适的Chunk进行分配。 - 返回内存块:将分配的内存块(ByteBuf,封装了实际的内存地址和操作接口)返回给应用程序,供其使用。
4.4.内存回收
当内存不在使用时,Netty 提供了几种方式来回收内存:
- 自动回收:当
ByteBuf对象被垃圾回收时(引用计数器为 0 时),Netty 会自动将其内存块返回给内存池。 - 手动回收:开发者可以通过调用
ByteBuf.release()方法手动释放内存块,将其返回给内存池。
5.ByteBuf
io.netty.buffer.ByteBuf是 Netty 提供的一个用于字节数据操作的缓冲区。它解决了java.nio.ByteBuffer的一些不足,提供了更加灵活、高效的内存管理功能,并且支持多种操作方式,适用于复杂的网络编程场景。
5.1.ByteBuf 的优势
读写指针分离
ByteBuffer只有一个指针,当从写模式切换到读模式时,需要显式调用flip()方法。而ByteBuf有独立的readerIndex和writerIndex,不用显式转换读写模式,读取和写入的操作可以并行进行。java// 创建一个 ByteBuf,初始容量为 256 字节,Unpooled 是一个工厂类,它可以创建各种类型的 ByteBuf ByteBuf byteBuf = Unpooled.buffer(256); // 写入数据 byteBuf.writeInt(42); byteBuf.writeBytes(new byte[]{1, 2, 3, 4}); byteBuf.writeBytes("Hello".getBytes(StandardCharsets.UTF_8)); // 读取数据,无需 flip(),读取顺序与写入顺序一致,所以 value=42 int value = byteBuf.readInt();容量自动扩展
ByteBuffer的容量是固定的,超出容量时需要手动创建新的缓冲区并迁移数据。而ByteBuf的容量可以自动扩展,便于处理未知大小的数据流。javaByteBuf byteBuf = Unpooled.buffer(256); for (int i = 0; i < 300; i++) { // 超出初始容量时,ByteBuf 会自动扩展 byteBuf.writeByte(i); } ByteBuffer byteBuffer = ByteBuffer.allocate(256); for (int i = 0; i < 300; i++) { // 超出初始容量时,ByteBuffer 会抛出异常 byteBuffer.put((byte) i); }池化机制
ByteBuf支持内存池化,即复用已分配的内存,减少频繁的内存分配和垃圾回收,提高性能,这对于性能要求高的应用非常重要。Netty 提供了PooledByteBufAllocator用于创建池化的ByteBuf。java// 获取池化的 ByteBuf 分配器 ByteBufAllocator allocator = PooledByteBufAllocator.DEFAULT; // 从池中分配一个 ByteBuf ByteBuf byteBuf = allocator.buffer(256);多种内存类型支持
ByteBuf支持堆内存(Heap Buffer)和直接内存(Direct Buffer),可以根据性能需求选择合适的内存类型。直接内存通常用于 I/O 操作,避免了 JVM 堆与操作系统内核之间的内存拷贝。java// 创建堆内存 ByteBuf ByteBuf heapBuf = Unpooled.buffer(256); // 创建直接内存 ByteBuf ByteBuf directBuf = Unpooled.directBuffer(256);丰富的 API 支持
ByteBuf提供了丰富的 API,比如:多种数据类型的读写方法、随机访问、切片(slice)、复制(copy)、搜索(search)等,方便开发者进行各种复杂的字节操作。javaByteBuf byteBuf = Unpooled.buffer(256); byteBuf.writeInt(42); byteBuf.writeBytes(new byte[]{1, 2, 3, 4}); // 随机访问,读取索引 0 处的整数,值为 42 int randomValue = byteBuf.getInt(0); // 切片:从索引 4 开始,长度为 4 的切片 ByteBuf sliceBuf = byteBuf.slice(4, 4); // 复制整个 ByteBuf ByteBuf copyBuf = byteBuf.copy(); // 标记当前的 readerIndex byteBuf.markReaderIndex(); // 重置 readerIndex 到之前标记的位置 byteBuf.resetReaderIndex();
5.2.对比示例代码
import io.netty.buffer.ByteBuf;
import io.netty.buffer.Unpooled;
import java.nio.ByteBuffer;
import java.nio.charset.StandardCharsets;
import java.util.Arrays;
/**
* 演示 ByteBuf 和 ByteBuffer 的对比
*
* @author yolk
* @since 2025/10/22 05:10
*/
public class ByteBufVsByteBuffer {
public static void main(String[] args) {
// 使用 ByteBuf
ByteBuf byteBuf = Unpooled.buffer(256);
byteBuf.writeInt(42);
byteBuf.writeBytes(new byte[]{1, 2, 3, 4});
byteBuf.writeBytes("Hello".getBytes(StandardCharsets.UTF_8));
System.out.println("ByteBuf 内容:");
while (byteBuf.isReadable()) {
System.out.print(byteBuf.readByte() + " ");
}
System.out.println();
// 使用 ByteBuffer
ByteBuffer byteBuffer = ByteBuffer.allocate(256);
byteBuffer.putInt(42);
byteBuffer.put(new byte[]{1, 2, 3, 4});
byteBuffer.put("Hello".getBytes(StandardCharsets.UTF_8));
// 切换到读模式
byteBuffer.flip();
System.out.println("ByteBuffer 内容:");
while (byteBuffer.hasRemaining()) {
System.out.print(byteBuffer.get() + " ");
}
}
}6.处理闲置连接
在 Netty 中,如果一个客户端连接长时间没有发送数据,这种闲置连接(idle connection)就需要被处理,以释放服务器资源,那么该如何监测并处理呢?
Netty 提供了IdleStateHandler,它是一个 ChannelHandler,可以监控连接的读写空闲状态,当连接在指定时间内没有读写操作时,会触发IdleStateEvent事件。通过处理这些事件,可以实现对闲置连接的管理,例如发送心跳消息或关闭连接。
6.1.使用 IdleStateHandler 处理闲置连接
添加
IdleStateHandler到 Channel 的Pipeline中,配置读空闲时间、写空闲时间和读写空闲时间。IdleStateHandler的构造函数参数如下:- 读空闲时间(readerIdleTime):如果在指定时间内没有读操作,就会触发读空闲事件。
- 写空闲时间(writerIdleTime):如果在指定时间内没有写操作,就会触发写空闲事件。
- 读写空闲时间(allIdleTime):如果在指定时间内既没有读也没有写操作,就会触发读写空闲事件。
- 时间单位(TimeUnit):指定时间的单位,如秒、毫秒等。
java// 读空闲60秒,写空闲30秒,读写空闲0秒即不检测读写空闲 channel.pipeline().addLast(new IdleStateHandler(60, 30, 0, TimeUnit.SECONDS));实现一个自定义的
ChannelInboundHandler,重写userEventTriggered方法来处理IdleStateEvent事件。javaimport io.netty.buffer.ByteBuf; import io.netty.buffer.Unpooled; import io.netty.channel.ChannelHandlerContext; import io.netty.channel.ChannelInboundHandlerAdapter; import io.netty.handler.timeout.IdleState; import io.netty.handler.timeout.IdleStateEvent; import io.netty.util.CharsetUtil; /** * 自定义闲置连接处理器 * * @author yolk * @since 2025/10/22 07:20 */ public class IdleConnectionHandler extends ChannelInboundHandlerAdapter { @Override public void userEventTriggered(ChannelHandlerContext ctx, Object evt) throws Exception { if (evt instanceof IdleStateEvent) { IdleStateEvent event = (IdleStateEvent) evt; if (event.state() == IdleState.READER_IDLE) { System.out.println("读空闲事件触发,关闭连接:" + ctx.channel().remoteAddress()); ctx.close(); // 关闭闲置连接 } else if (event.state() == IdleState.WRITER_IDLE) { System.out.println("写空闲事件触发,发送心跳消息给客户端:" + ctx.channel().remoteAddress()); ByteBuf heartbeatMsg = Unpooled.copiedBuffer("Heartbeat\n", CharsetUtil.UTF_8); ctx.writeAndFlush(heartbeatMsg); // 发送心跳消息 } else if (event.state() == IdleState.ALL_IDLE) { System.out.println("读写空闲事件触发,关闭连接:" + ctx.channel().remoteAddress()); ctx.close(); // 关闭闲置连接 } } else { super.userEventTriggered(ctx, evt); } } @Override public void exceptionCaught(ChannelHandlerContext ctx, Throwable cause) throws Exception { System.err.println("通道异常:" + cause.getMessage()); cause.printStackTrace(); ctx.close(); } }
6.2.心跳机制
我们可以基于IdleStateHandler实现检测和维护客户端与服务器之间的连接状态,简单来说就是在一定时间间隔内发送心跳消息,以确保连接的活跃性,及时发现和处理断开的连接。心跳机制通常用于长连接场景,如即时通信、在线游戏等,Netty 也提供了一些工具类来简化心跳机制的实现。
步骤
添加 IdleStateHandler
Netty 提供了
IdleStateHandler,它是一个 ChannelHandler,可以监控连接的读写空闲状态。当连接在指定时间内没有读写操作时,会触发相应的事件。实现处理心跳事件的 Handler
通过继承
ChannelInboundHandlerAdapter或者ChannelDuplexHandler,处理IdleStateEvent事件(重写userEventTriggered方法)来实现心跳逻辑。ChannelInboundHandlerAdapter和ChannelDuplexHandler的区别在于:ChannelInboundHandlerAdapter:只处理入站事件(如读取数据、连接建立等)。ChannelDuplexHandler:同时处理入站和出站事件(如写入数据、连接关闭等),适用于需要同时处理读写操作的
在 Pipeline 中添加 Handler
将
IdleStateHandler和自定义的心跳处理器添加到 Channel 的 Pipeline 中。
示例代码
import io.netty.bootstrap.ServerBootstrap;
import io.netty.channel.Channel;
import io.netty.channel.ChannelInitializer;
import io.netty.channel.ChannelOption;
import io.netty.channel.EventLoopGroup;
import io.netty.channel.nio.NioEventLoopGroup;
import io.netty.channel.socket.nio.NioServerSocketChannel;
import io.netty.handler.timeout.IdleStateHandler;
import java.util.concurrent.TimeUnit;
/**
* 演示 Netty 心跳机制
*
* @author yolk
* @since 2025/10/22 06:30
*/
public class NettyHeartbeatServer {
public static void main(String[] args) throws InterruptedException {
EventLoopGroup bossGroup = new NioEventLoopGroup(1);
EventLoopGroup workerGroup = new NioEventLoopGroup(10);
try {
ServerBootstrap bootstrap = new ServerBootstrap();
bootstrap.group(bossGroup, workerGroup)
.channel(NioServerSocketChannel.class)
.option(ChannelOption.SO_BACKLOG, 1024)
.childHandler(new ChannelInitializer<>() {
@Override
protected void initChannel(Channel channel) throws Exception {
/* 添加 IdleStateHandler,这里的参数依次是:读空闲时间、写空闲时间、读写空闲时间、时间单位
*
* 读空闲时间为 n 秒:如果 n 秒内没有收到客户端的数据,就会触发一个读空闲事件(IdleStateEvent)。
* 写空闲时间为 n 秒:如果 n 秒内没有向客户端发送数据,就会触发一个写空闲事件。
* 读写空闲时间为 n 秒:如果 n 秒内既没有读也没有写操作,就会触发一个读写空闲事件。
* 时间 为 0 则表示不监控该类型的空闲事件。
*/
channel.pipeline().addLast(new IdleStateHandler(5, 0, 0, TimeUnit.SECONDS));
// 添加自定义的心跳处理器
channel.pipeline().addLast(new HeartbeatServerHandler());
}
});
System.out.println("服务器启动,监听端口 9000");
Channel ch = bootstrap.bind(9000).sync().channel();
ch.closeFuture().sync();
} finally {
bossGroup.shutdownGracefully();
workerGroup.shutdownGracefully();
}
}
}package com.yolk.netty.heartbeat;
import io.netty.buffer.ByteBuf;
import io.netty.buffer.Unpooled;
import io.netty.channel.ChannelHandlerContext;
import io.netty.channel.ChannelInboundHandlerAdapter;
import io.netty.handler.timeout.IdleState;
import io.netty.handler.timeout.IdleStateEvent;
import io.netty.util.CharsetUtil;
/**
* 心跳处理器
*
* @author yolk
* @since 2025/10/22 06:45
*/
public class HeartbeatServerHandler extends ChannelInboundHandlerAdapter {
@Override
public void userEventTriggered(ChannelHandlerContext ctx, Object evt) throws Exception {
if (evt instanceof IdleStateEvent) {
IdleStateEvent event = (IdleStateEvent) evt;
if (event.state() == IdleState.READER_IDLE) {
System.out.println("读空闲事件触发,客户端:" + ctx.channel().remoteAddress());
// 发送心跳消息
ByteBuf heartbeatMsg = Unpooled.copiedBuffer("Heartbeat\n", CharsetUtil.UTF_8);
ctx.writeAndFlush(heartbeatMsg);
}
} else {
super.userEventTriggered(ctx, evt);
}
}
@Override
public void exceptionCaught(ChannelHandlerContext ctx, Throwable cause) throws Exception {
System.err.println("通道异常:" + cause.getMessage());
cause.printStackTrace();
ctx.close();
}
}package com.yolk.netty.heartbeat;
import io.netty.bootstrap.Bootstrap;
import io.netty.channel.ChannelFuture;
import io.netty.channel.ChannelInitializer;
import io.netty.channel.EventLoopGroup;
import io.netty.channel.nio.NioEventLoopGroup;
import io.netty.channel.socket.SocketChannel;
import io.netty.channel.socket.nio.NioSocketChannel;
import io.netty.handler.timeout.IdleStateHandler;
import java.util.concurrent.TimeUnit;
/**
* 演示 Netty 心跳机制客户端
*
* @author yolk
* @since 2025/10/22 06:50
*/
public class NettyHeartbeatClient {
public static void main(String[] args) throws InterruptedException {
EventLoopGroup group = new NioEventLoopGroup();
try {
Bootstrap bootstrap = new Bootstrap();
bootstrap.group(group)
.channel(NioSocketChannel.class)
.handler(new ChannelInitializer<SocketChannel>() {
@Override
protected void initChannel(SocketChannel ch) throws Exception {
/*
* 添加 IdleStateHandler,设置写空闲时间为 8 秒
* 即:如果 8 秒内没有给服务端发送数据,就会触发写空闲事件
*/
ch.pipeline().addLast(new IdleStateHandler(0, 8, 0, TimeUnit.SECONDS));
ch.pipeline().addLast(new HeartbeatClientHandler());
}
});
System.out.println("客户端准备就绪,准备连接服务器...");
ChannelFuture cf = bootstrap.connect("localhost", 9000).sync();
cf.channel().closeFuture().sync();
} finally {
group.shutdownGracefully();
}
}
}package com.yolk.netty.heartbeat;
import io.netty.channel.ChannelHandlerContext;
import io.netty.channel.ChannelInboundHandlerAdapter;
import io.netty.buffer.ByteBuf;
import io.netty.handler.timeout.IdleState;
import io.netty.handler.timeout.IdleStateEvent;
import io.netty.util.CharsetUtil;
/**
* 心跳客户端处理器
*
* @author yolk
* @since 2025/10/22 06:55
*/
public class HeartbeatClientHandler extends ChannelInboundHandlerAdapter {
@Override
public void channelRead(ChannelHandlerContext ctx, Object msg) throws Exception {
ByteBuf buf = (ByteBuf) msg;
String content = buf.toString(CharsetUtil.UTF_8);
System.out.println("收到服务器消息:" + content);
}
@Override
public void userEventTriggered(ChannelHandlerContext ctx, Object evt) throws Exception {
// 检查是否为 IdleStateEvent
if (evt instanceof IdleStateEvent) {
IdleStateEvent event = (IdleStateEvent) evt;
if (event.state() == IdleState.WRITER_IDLE) {
System.out.println("没有写操作,关闭客户端");
ctx.close();
}
}
}
@Override
public void exceptionCaught(ChannelHandlerContext ctx, Throwable cause) throws Exception {
System.err.println("客户端通道异常:" + cause.getMessage());
cause.printStackTrace();
ctx.close();
}
}7.处理粘包和拆包
在网络编程中,粘包和拆包是常见的问题,特别是在使用 TCP 协议进行通讯时。Netty 作为一个高性能的网络框架,提供了多种解决粘包和拆包问题的机制。
7.1.什么是粘包和拆包
- 粘包:指的是发送方将几段数据连续发送到网络中,接收方将若干段数据粘合在一起作为一次接收到的数据。
- 拆包:指的是发送方一次性发送的数据由于某种原因被分成了多次发送,接收方在接收时将这些数据分成若干次接收。
7.2.处理粘包和拆包
Netty 提供了一系列的ByteToMessageDecoder和MessageToByteEncoder,用于处理粘包和拆包问题。常用的解决方案包括但不限于以下几种:
定长解码器(FixedLengthFrameDecoder)
这种方法适用于消息长度固定的场景。解码器会按照指定的长度来截取数据,从而避免粘包和拆包问题。
java// 每条消息固定为 20 字节 channel.pipeline().addLast(new FixedLengthFrameDecoder(20));行分隔符解码器(LineBasedFrameDecoder)
这种方法适用于以换行符(
\n或\r\n)作为消息结束标志的场景。解码器会根据行分隔符来截取数据。java// 设置单行最大长度为 1024 字节,如果没有找到分隔符,则抛出 TooLongFrameException异常 channel.pipeline().addLast(new LineBasedFrameDecoder(1024));分隔符解码器(DelimiterBasedFrameDecoder)
这种方法适用于自定义分隔符的场景。解码器会根据指定的分隔符来截取数据。
javaByteBuf delimiter = Unpooled.copiedBuffer("$_".getBytes()); channel.pipeline().addLast(new DelimiterBasedFrameDecoder(1024, delimiter));基于长度的帧解码器(LengthFieldBasedFrameDecoder)
这种方法适用于消息中包含长度字段的场景。解码器会根据长度字段来截取数据,适用于复杂协议。
java/* * maxFrameLength:最大帧长度。如果接收的消息长度超过该值,则抛出 TooLongFrameException 异常 * lengthFieldOffset:长度字段的偏移量。即长度字段在消息中的起始位置 * lengthFieldLength:长度字段的字节数。常见的有 1、2、4、8 字节 * lengthAdjustment:长度调整值,用于修正长度字段的值。如果长度字段包含了消息头的长度,则需要设置为负值,以减去消息头的长度 * initialBytesToStrip:跳过的初始字节数,通常用于跳过消息头。 */ channel.pipeline().addLast(new LengthFieldBasedFrameDecoder(65535, 0, 4, 0, 4));消息头通常包含消息的元数据,如长度字段、消息类型等,用于描述消息的结构和内容。
7.3.示例代码
import io.netty.buffer.ByteBuf;
import io.netty.channel.ChannelHandlerContext;
import io.netty.handler.codec.ByteToMessageDecoder;
import java.nio.charset.StandardCharsets;
import java.util.List;
/**
* 自定义解码器,处理粘包和拆包问题
*
* @author yolk
* @since 2025/10/22 08:10
*/
public class CustomDecoder extends ByteToMessageDecoder {
@Override
protected void decode(ChannelHandlerContext ctx, ByteBuf in, List<Object> out) throws Exception {
// 检查是否有足够的字节读取长度字段
if (in.readableBytes() < 4) {
return; // 长度字段还没接收到
}
in.markReaderIndex();
// 读取长度字段,int 类型,占 4 字节
int length = in.readInt();
// length 就是消息体的长度
byte[] bytes = new byte[length];
// 读取消息内容
in.readBytes(bytes);
String message = new String(bytes, StandardCharsets.UTF_8);
// 解码后的消息添加到输出列表
out.add(message);
}
}import io.netty.buffer.ByteBuf;
import io.netty.channel.ChannelHandlerContext;
import io.netty.handler.codec.MessageToByteEncoder;
import java.nio.charset.StandardCharsets;
/**
* 自定义编码器,处理粘包和拆包问题
*
* @author yolk
* @since 2025/10/22 08:15
*/
public class CustomEncoder extends MessageToByteEncoder<String> {
@Override
protected void encode(ChannelHandlerContext ctx, String msg, ByteBuf out) throws Exception {
byte[] bytes = msg.getBytes(StandardCharsets.UTF_8);
int length = bytes.length;
out.writeInt(length); // 写入长度字段
out.writeBytes(bytes); // 写入内容
}
}public class MyChannelInitializer extends ChannelInitializer<SocketChannel> {
@Override
protected void initChannel(SocketChannel ch) throws Exception {
// ch.pipeline().addLast(new LengthFieldBasedFrameDecoder(1024, 0, 4, 0, 4)); // 基于长度的帧解码器
ch.pipeline().addLast(new CustomDecoder()); // 添加自定义解码器
ch.pipeline().addLast(new CustomEncoder()); // 添加自定义编码器
ch.pipeline().addLast(new MyBusinessHandler()); // 添加业务处理器
}
}8.Netty 无锁串行化
Netty 的无锁串行化机制是高性能和高并发网络编程的关键。它的设计主要思想是每条连接(Channel)对应一个 ChannelPipeline,而每个 ChannelPipeline 又在一个特定的 EventLoop 上运行。这样,所有针对同一连接的 I/O 操作和事件处理都在同一个线程中执行,从而避免了多线程竞争和锁的使用。
8.1.工作原理
Channel 与 EventLoop 绑定
事件循环负责处理该 Channel 的所有事件(如读写操作、连接建立等),确保同一个 Channel 的所有操作总是在同一个线程中执行。
事件队列
EventLoop 维护一个事件队列,所有针对该 Channel 的事件都会被放入这个队列中,按顺序处理。这样可以保证事件的顺序性,避免了并发访问带来的问题。
任务调度
EventLoop 会不断轮询事件队列,处理其中的事件和任务。由于所有操作都在同一个线程中执行,因此不需要使用锁来保护共享资源,从而提高了性能。
这种模式下,每个 Channel 的事件处理都是串行化的,避免了多线程竞争和锁的开销,提高了系统的吞吐量和响应速度。
8.Netty 使用的设计模式
Netty 采用了多种设计模式来实现其高性能和可扩展的网络编程框架。以下是 Netty 使用的一些主要设计模式:
责任链模式(Chain of Responsibility)
Netty 的 ChannelPipeline 就是责任链模式的一个典型应用。ChannelPipeline 由多个 ChannelHandler 组成,每个 Handler 负责处理特定类型的事件或数据。当一个事件发生时,它会沿着责任链传递,直到被某个 Handler 处理。
javachannel.pipeline().addLast(new LoggingHandler(LogLevel.INFO)); channel.pipeline().addLast(new HttpRequestDecoder()); channel.pipeline().addLast(new HttpResponseEncoder()); channel.pipeline().addLast(new MyBusinessLogicHandler());观察者模式(Observer Pattern)
Netty 的事件驱动模型采用了观察者模式。ChannelHandlerContext 和 ChannelHandler 之间的关系类似于观察者和被观察者。当某个事件发生时,ChannelHandlerContext 会通知相应的 ChannelHandler 进行处理。
另外,Netty 的 Future 和 ChannelFutureListener 也采用了观察者模式,当异步操作完成时, Future 会通知注册的监听器。
javaChannelFuture future = channel.writeAndFlush(msg); future.addListener(new ChannelFutureListener() { @Override public void operationComplete(ChannelFuture future) throws Exception { if (future.isSuccess()) { System.out.println("消息发送成功"); } else { System.err.println("消息发送失败:" + future.cause()); // 打印堆栈信息 future.cause().printStackTrace(); } } });Reactor 模式
Netty 的线程模型基于 Reactor 模式设计。Reactor 模式通过一个或多个线程(Reactor)监听多个 I/O 事件,当事件发生时,Reactor 将事件分发给相应的处理器(Handler)进行处理,从而实现高效的 I/O 操作。
工厂模式(Factory Pattern)
Netty 使用工厂模式来创建各种对象,例如 Channel、ByteBuf 等。通过工厂方法,Netty 可以灵活地创建不同类型的对象,满足不同的需求。
javaByteBufAllocator allocator = PooledByteBufAllocator.DEFAULT; ByteBuf byteBuf = allocator.buffer(256);模版方法模式(Template Method Pattern)
Netty 的 ChannelHandlerAdapter 类采用了模板方法模式。ChannelHandlerAdapter 提供了一些默认的处理方法,子类可以选择性地重写这些方法来实现特定的逻辑,而不需要实现所有的方法。
javapublic class MyHandler extends ChannelInboundHandlerAdapter { @Override public void channelRead(ChannelHandlerContext ctx, Object msg) throws Exception { // 处理读取到的数据 } }单例模式(Singleton Pattern)
Netty 中的一些组件,如
PooledByteBufAllocator,采用了单例模式,以确保在整个应用程序中只有一个实例,从而节省资源并提高性能。javaByteBufAllocator allocator = PooledByteBufAllocator.DEFAULT; ByteBuf byteBuf = allocator.buffer(256);装饰器模式(Decorator Pattern)
Netty 的 ChannelHandler 可以看作是装饰器模式的应用。通过在 ChannelPipeline 中添加多个 ChannelHandler,可以动态地为 Channel 添加功能,而不需要修改原有的 Handler。
javachannel.pipeline().addLast(new MyDecoder()); channel.pipeline().addLast(new MyEncoder()); channel.pipeline().addLast(new MyBusinessLogicHandler());适配器模式(Adapter Pattern)
Netty 提供了一些适配器类,如 ChannelInboundHandlerAdapter 和 ChannelOutboundHandlerAdapter,简化了 Handler 的实现。开发者可以继承这些适配器类,只需重写感兴趣的方法,而不必实现所有的方法。
javapublic class MyHandler extends ChannelInboundHandlerAdapter { @Override public void channelRead(ChannelHandlerContext ctx, Object msg) throws Exception { // 处理读取到的数据 } }策略模式(Strategy Pattern)
Netty 允许通过配置不同的策略来改变其行为,例如选择不同的内存分配策略(池化或非池化)、选择不同的传输协议(NIO、EPOLL 等)。这种灵活性使得 Netty 可以适应各种不同的应用场景。
javaEventLoopGroup group = new NioEventLoopGroup(); // NIO 传输 // 或者使用 EpollEventLoopGroup 进行 EPOLL 传输 // EventLoopGroup group = new EpollEventLoopGroup();EpollEventLoopGroup:应用代码 → Netty Native Code → epoll 系统调用
NioEventLoopGroup:应用代码 → JVM NIO API → JNI 调用 → epoll 系统调用
9.性能调优
进行 Netty 程序性能调优时,可以从多个方面入手,包括:线程模式、内存管理、数据压缩和连接管理等,以下是常见的策略:
选择合适的线程模型
- 根据应用场景选择合适的
EventLoopGroup类型(NIO、EPOLL、KQUEUE 等)。 - 调整线程池大小,确保有足够的线程处理 I/O 操作和业务逻辑,但避免过多线程导致上下文切换开销。
- 根据应用场景选择合适的
优化内存管理
- 使用
PooledByteBufAllocator进行内存池化,减少频繁的内存分配和垃圾回收。 - 调整内存池参数,如
maxOrder、pageSize等,以适应应用的内存使用模式。
- 使用
使用压缩和编码
对传输的数据进行压缩,减少网络带宽占用。
javapipeline.addLast("compressor", new JdkZlibEncoder(ZlibWrapper.GZIP)); pipeline.addLast("decompressor", new JdkZlibDecoder(ZlibWrapper.GZIP));使用高效的编码格式(如 Protobuf、Thrift)替代传统的文本格式(如 JSON、XML)。
连接管理
- 使用连接池管理客户端连接,减少连接建立和关闭的开销。
- 设置合理的闲置连接超时时间,及时关闭不活跃的连接,释放资源。
调整 TCP 参数
- 根据网络带宽和延迟,适当调整 TCP 缓冲区大小(
SO_RCVBUF、SO_SNDBUF)。 - 启用
TCP_NODELAY以减少延迟,特别是在需要低延迟通信的场景中(比如实时聊天,金融交易)。
java// SO_RCVBUF 是接收缓冲区大小,SO_SNDBUF 是发送缓冲区大小 bootstrap.childOption(ChannelOption.SO_RCVBUF, 1024 * 1024); bootstrap.childOption(ChannelOption.SO_SNDBUF, 1024 * 1024); bootstrap.childOption(ChannelOption.TCP_NODELAY, true);启用
TCP_NODELAY会禁用 Nagle 算法(该算法会导致小数据包被缓存,直到缓存区到达一定大小后才发送),从而减少延迟。- 根据网络带宽和延迟,适当调整 TCP 缓冲区大小(
监控和分析
- 使用 Netty 提供的
LoggingHandler进行日志记录,监控网络 - 借助性能分析工具(如 VisualVM、YourKit)分析应用的性能瓶颈,进行针对性优化。
- 使用 Netty 提供的
